
Блок распределительный КБР на DIN-рейку и монтажную панель 80A EKF PROxima
Умная LED лампа EKF Connect 8W WIFI RGBW E27

Автоматический выключатель EKF 4P 32А 4.5кА
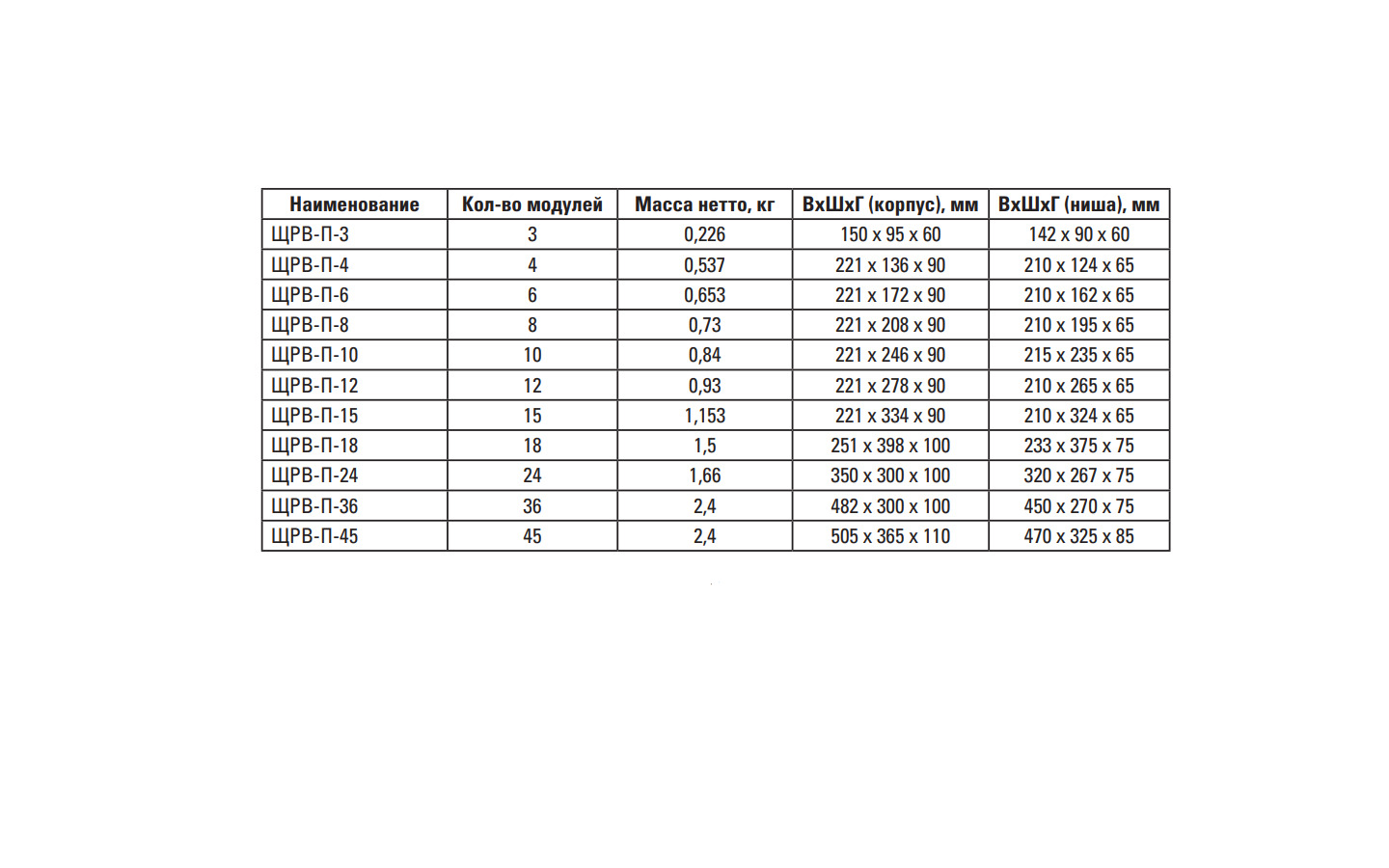
Бокс ЩРВ-П-36 IP41 EKF PROxima

Щит распределительный навесной ЩРН-12 (220х300х120) IP31 EKF Basic
Автоматический выключатель EKF 16А 4.5кА
Автоматический выключатель 2P 25А (B) 4,5кА ВА 47-29 EKF Basic
Терморегулятор/термостат EKF, белый
Дифференциальный автомат EKF 16А 30мА, 1 шт.
ИК датчик движения потолочный 2000Вт 360гр. до 6м IP20 MS-22B EKF PROxima
Щит распределительный навесной ЩРН-П-10 темное дерево IP41 EKF PROxima - 1 шт.
Щит распред. встраиваемый ЩРВ-П-24 "SlimBox" IP41 EKF PROxima